Meine wissenschaftlichen Ansätze
(einfach erklärt)
SSRN: Hier gelangen Sie zu den wissenschaftlichen Grundlagen-Artikeln zum FYT-Modell
- RENDITE, IRR, WIDERANLAGEZINS, ZWEITMARKT: https://lnkd.in/eYRkNRG
- RISIKO, RoI-PACE, NFI: https://lnkd.in/egPd2iJ
- GARM-REGRESSION, FYT-PORTFOLIOANALYSE: https://lnkd.in/eBbVjQk
Im August des Jahres 2015 schlug ich mit 35 Jahren den Weg als externer Doktorand im Bereich 'Real Estate Finance' ein, um den Aspekt Rendite für Kapitalgeber grundlegend wissenschaftlich zu untersuchen. Die Ziele lagen und liegen heute noch darin, ein besseres Öffentlichkeitsverständnis und für die Praxis realistische Lösungen zu den Aspekten Rendite und Risiko zu fördern.
Im Januar 2020 konnte ich nach rund fünf "steinigen" Jahren der Promotionsvorbereitung mit diversen Vorträgen, als Autor von Büchern und Fachartikeln die Grundlagenforschung erfolgreich beenden: mein wissenschaftlich entwickeltes Modell 'Future Yield after Taxes (FYT)' setzt richtungsweisende, wenngleich kontroverse Inhalte zur Modernen Portfolio Theorie (MPT) sowie der Arbitrage Pricing Theorie (APT). Das FYT-Modell konkretisiert den BALDWIN-Zins (1959) auf Ebene der Kapitalgeber, der wiederum den Internen Zinsfuß als Teil der expliziten Kapitalwertmethoden auf Ebene der Assets modifiziert.
Der Zahlungsstrom eines jeden Kapitalgebers entwickelt sich generisch immer gleich wie folgt:
Das FYT-Modell beobachtet nach der erfolgten Kapitalinvestition die Kapitalrückflüsse auf Ebene der Kapitalgeber, nicht Kapitalrückzahlung (die überwiegende Anzahl an Kennzahlen fokussiert Cashflows auf Ebene der Assets). Bekannte (Multi-) Faktormodelle der Kapitalmarkttheorie wiederum vergleichen risikoadjustierte Renditen, deren Theorien bis heute nicht (!) durch Empirie bestätigt werden können.
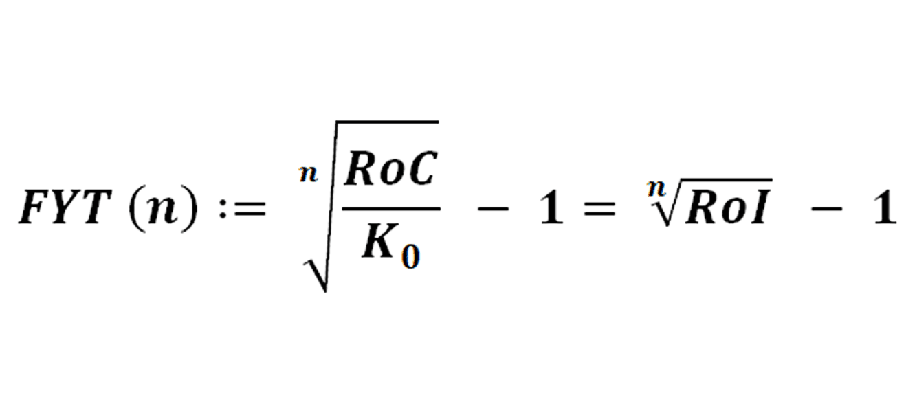
Um ein geeignetes Messinstrument zur Rendite-Messung zu entwickeln, ist die einfach wirkende Frage zu beantworten, welcher Zusammenhang zwischen Anfangsinvestition (K0) und Summe der Kapitalrückflüsse alias Kapitalendwert (Kn) besteht, beziehungsweise was erwartet der Kapitalgeber an Ergebnis(relativ)zahl, um Rendite-Ergebnisse miteinander vergleichen zu können.
Das FYT-Modell arbeitet vereinfacht nach dem Prinzip folgender (religionsneutralen) Anekdote, die jede/r aus dem Mathematik-Schulunterricht kennt: "Wenn Jesus zu seiner Geburt einen Cent zu einem Zinssatz X angelegt hätte, was wäre der heute wert?". Die Funktion zur Anekdote sieht wie folgt aus:
Im Gegensatz zur bekannten Zuwachsrendite, zu der - wie auch beim FYT-Modell - die Summe der Kapitalrückflüsse (RoC) festgestellt und dann der Eigenkapitaleinsatz (K0) in Abzug gebracht sowie der resultierende Kapitalgewinn über die Investitionszeit (n) gleichverteilt wird, stellt das FYT-Modell die Kapitalrentabilität (RoI) fest, also keine Differenz, sondern eine Verhältniszahl.
Abbildung 04
zeigt: zum Zeitpunkt null investiert der Kapitalgeber Eigenkapital mit eventuell aufkommenden Nebenkosten, so dass Kapital (für Assets und Finanzinstrumente) zu 100% gebunden wird. Da Rendite dem relativ zum Kapitaleinsatz erwirtschafteten Kapitalgewinn über die Zeit entspricht, kann sich zum Zeitpunkt der Investition unter Ausschluss von Arbitrage noch keine Rendite entwickelt haben. Erst mit den realisierten Gewinnvorabentnahmen, Zinsen, Dividenden, liquidierbaren Bezugsrechten, etc., steuerlichen Ergebnissen und dem Liquidationsüberschuss (im Falle der Fremdfinanzierung), in Summe die Kapitalrückflüsse, amortisiert sich die Investition hin zum Kapitalgewinn.
Für den Kapitalgeber ist generell entscheidend, wie schnell Kapitalrückflüsse aus dem Asset realisiert werden, da die Höhe der Rendite allein nicht aussagekräftig ist. Dies kann mit der Messzahl erfolgen:
'Kapitalrentabilität-Geschwindigkeit (RoI-PACE)'.
Der sich in Abbildung 04
auf Basis von Zeiträumen diskret entwickelnde FYT-Zins ist zeitstetig bzw. kontinuierlich darzustellen. Ein in der Wissenschaft geeignetes Instrument für die Umsetzung ist die Substitution der Kapitalrentabilität (RoI) gemäß Abbildung 03
gegen die Eulersche Zahl. Die kontinuierliche bzw. zeitstetige FYT-Funktion zeigt sich wie folgt:
Die Euler-FYT-Funktion in Abbildung 05 erklärt indirekt die Risiko-Einstellung des Investors bzw. Risiko-Einstufung des Kapitalanlageprodukts. Dafür sind die beiden Faktoren, a und b, verantwortlich. Der Faktor a repräsentiert die Steigung der Funktion, der Faktor b die Funktionsneigung. Entwickelt sich zeit-stetige Funktion konkav (konvex), so induziert das eine Risiko averse (freudige) Einstellung des Kapitalgebers bzw. des Kapitalanlageprodukts.
Abbildung 06 stellt die FYT-Entwicklung des Kapitalanlageprodukts (dunkel) der der Erwartung des Kapitalgebers (grau) über die Investitionszeit gegenüber. Der Kapitalgeber scheint Risiko freudiger zu sein, da sich seine RoI-PACE in den ersten Jahren langsamer entwickelt als das Produkt anbietet. Nach rund 8,5 Jahren schneiden sich die (univariat regressierten Euler-) Funktionen, was bedeutet, dass die Erwartung des Kapitalgebers zur RoI-PACE höher ist als das Produkt zu realisieren versucht. Zwischen den beiden Funktionen erkennt man vor und nach dem Schnittpunkt eine Fläche, die sich quantifizieren lässt. Das dazu passende Risiko-Maß nenne ich
'Non FYT Indicator (NFI)'.
Grundsätzlich gilt: je kleiner NFI ausfällt, um so besser erfüllt das Kapitalanlageprodukt die Erwartung des Kapitalgebers.
Als Ergebnis meiner Forschungen verfasste ich jeweils einen Grundlagenartikel zur Rendite- und Risikomessung, einen zusammenfassenden Teaser und die erste 50-jährige FYT-Langzeitstudie 1971-2019 über fast 600 Geschlossene Immobilienfonds von 78 Initiatoren, die über den Immobilien Manager Verlag publiziert wurde. Das FYT-Modell bietet Grundlagen für ein innovatives Immobilienpreisblasen-Messmodell, für die Entwicklung der 'Generalized Additive Related Model (GARM)' Regression als auch zur Anwendung des Modells im internationalen Umfeld als harmonisiertes FYT.











